Sequelize Associations - Creating Associations
Sequelize is an Object relational library (ORM) that helps to communicate between database (Postgres, MySQL, MariaDB, SQLite and Microsoft SQL Server) and programming models on the NodeJS end.
This blog exclusively deals with how to setup associations in sequelize. Primary knowledge of NodeJS, Express and SequelizeJS is recommended.
Associations
An association (also called a relationship) models the way two classes are connected to each other.
Sequelize supports three types of associations between their models:
- One to One relationship
- One to Many relationship
- Many to Many relationship
Implementation in relational databases
Relational databases implement associations/relationships with the help of foreign keys.

User model contains a column profile_id which connects it to Profile model by referencing id column there. With SQL, you can use JOIN queries to retrieve information from associated Profile table when a User is fetched.
Adding foreign keys also gives us control over actions to be taken when updating/deleting associated models.
Associations in Sequelize
In order to implement three of these standard associations, Sequelize provides us four APIs:
hasOneassociationbelongsToassociationhasManyassociationbelongsToManyassociation
To create associations, we have to use combinations of these together:
- To create a One-to-One relationship, the
hasOneandbelongsToassociations are used together. - To create a One-to-Many relationship, the
hasManyandbelongsToassociations are used together. - To create a Many-to-Many relationship, two
belongsToManycalls are used together.
Let us explore each of these one by one.
In all examples below, Book and User are models that have already been defined. You can define a model with:
const User = sequelize.define("User", {
name: {
type: DataTypes.STRING,
},
});
One to One relationship

Here, User and Profile share a one to one relationship. A user has a profile and profile has a user associated with it.
Creating a One to One association
A One-to-One relationship could be in a likely scenario be merged back to a single table. So, this relationship is rarely used.
To create a one to one relationship we have to find the optional model in the relationship. In our example, User and Profile have a one-to-one relationship. Here User can exist without a Profile, but the vice versa is not possible.
This means, we will insert userId field to Profile model's table:
User.hasOne(Profile);
Profile.belongsTo(User);
translated to SQL:
CREATE TABLE IF NOT EXISTS "users" (
/* ... */
);
CREATE TABLE IF NOT EXISTS "profiles" (
/* ... */
"userId" INTEGER REFERENCES "users" ("id") ON DELETE SET NULL ON UPDATE CASCADE
);
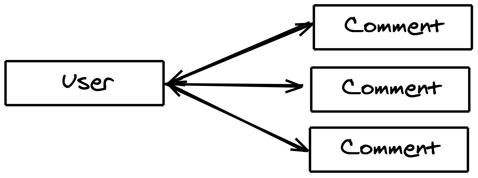
One to Many relationship

Here user and comments share a one to many relationship. Each user can make multiple comments while each comment is associated with only a single user.
Creating a One to Many relationship
Unline 1-1 relationship there isn't a question of where to place the foreign keys here.
User.hasMany(Comment);
Comment.belongsTo(User);
The foreign key userId is on each row of Comment
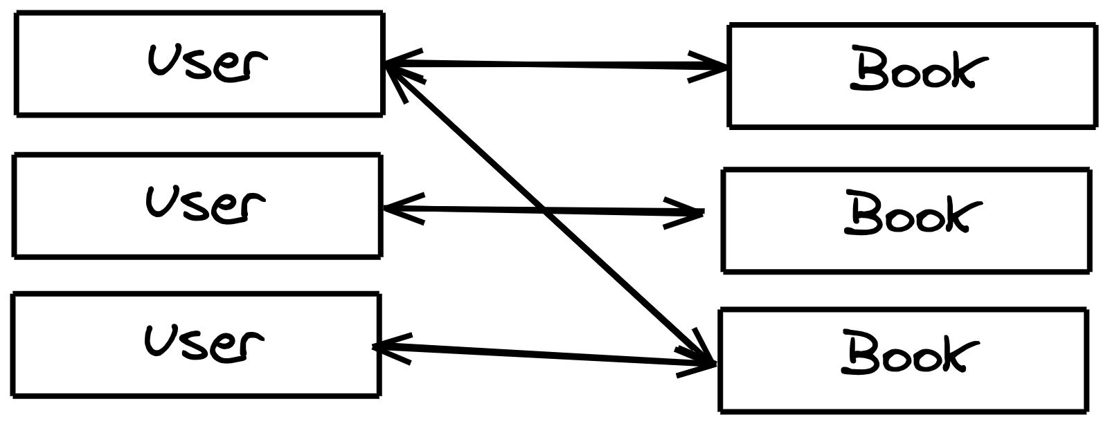
Many to Many

User is marking down Books that he has read. Each user can mark as many books as they want, creating a many to many association between User and Books. Contrary to the earlier scenario with comments, a Book also can be connected to many number of Users.
Each model involved in the relationship can be connected to multiple targets. But we cannot represent this relationship with a single foreign key on a model. If you're thinking array of foreign keys, that's ineffective to do joins on. Instead we use this concept called a Junction table; to borrow a diagram from Wikipedia:

Here actor_film_mapping table is used as a junction table to link together actor and film tables.
To represent relationship in Sequelize:
User.belongsToMany(Book, {
through: "UserBooks",
});
Book.belongsToMany(User, {
through: "UserBooks",
});
UserBooks representing the name of the junction table model.
Sequelize also allows you to specify a model instead of string and you can add your own columns to the junction table.
const UserBooks = sequelize.define("UserBooks", {
userId: {
type: DataTypes.INTEGER, // given primary key is integer
},
bookId: {
type: DataTypes.INTEGER,
},
rating: {
type: DataTypes.INTEGER, // our own column added to the model
},
});
User.belongsToMany(Book, {
through: UserBooks, // sequelize uses the UserBooks model instead of creating one.
});
Book.belongsToMany(User, {
through: UserBooks,
});
Aliasing an association
Sometimes, you end up having multiple relationships between entities, for example what if our Users could favorite Books too? As you can guess from the title, you can alias the relationship giving it a unique name.
User.belongsToMany(Book, {
through: FavBooks,
as: "favorites",
});
Book.belongsToMany(User, {
through: FavBooks,
as: "favorites",
});
User.belongsToMany(Book, {
through: ReadBooks,
as: "read",
});
Book.belongsToMany(User, {
through: ReadBooks,
as: "read",
});
This is same in the case of all types of relationships.
There is a lot more to cover on creating these relationships like customising keys or changing how update or delete affects these relationships. I do plan to cover them, but documentation should be your best guide if you understand these relationships better.
Have fun 🎉